前言
本文表明,基于初始时刻故障率的时间导数的浴盆曲线 (BTC) 可以被视为老化测试 (BIT) 是否应该进行的合适标准。进行。还表明,上述标准实际上是产品制造商从众多供应商处收到的批量生产组件的随机统计故障率(SFR)的方差,这些供应商对可靠性的承诺是未知的,并且它们的随机SFR因此,可能会在一个非常大的范围内变化,从零到无穷大。推导了由具有随机 SFR 的批量生产部件组成的产品的非随机 SFR 的公式,并获得了正态分布随机 SFR 情况的解决方案。
一、简介
老化测试 (BIT) 多年来一直是一种公认的做法,用于在将 BIT 中幸存下来的“健康”产品运送给客户之前,检测和消除新制造的电子产品中的早期故障。BIT 对于大多数高可靠性采购合同都是强制性的,例如军事和航空航天应用,但对于汽车、医疗、长途电信和其他电子材料、封装和系统来说也是必须的,其高运行性能至关重要。BIT 通过加速可能导致这些材料和元件失效的应力,从而刺激制造产品的有缺陷的材料和易损结构元件的失效。BIT通常在组件级别进行,因为测试和更换零件的成本在该级别是最低的。产品通过施加极端压力进行测试,通常但不一定是预期的操作压力源。人们相信,一旦足够长的 BIT 过程完成,就不可能再发生进一步的早期故障。
根据产品的预期运行条件和特定制造商的测试能力,BIT 可以基于温度循环、高温、电压、电流、湿度、随机振动等,或者,由于叠加原理不可靠性工程中的工作——研究这些压力因素的适当组合。施加应力的持续时间取决于产品、制造技术和可靠性要求,并考虑可能发生故障的后果。最常使用升高温度(例如,125 °C,持续 168 小时)或升高应力筛选(例如,从 -10 °C 到 70 °C 的 20 个温度循环)。对于复杂的产品,可以采用动态 BIT。由温度变化引起的热应力,在这些测试中结合了动态(冲击、随机振动)负载。这种温度动态偏差被认为会提供最坏情况的工作条件。对于商业应用,BIT(如果有的话)持续时间不会超过一两天(24 或 48 小时)。BIT 是一项成本高昂的工作,因此其应用需要经过彻底的规划和仔细的执行。
不言而喻,由于成功应用 BIT,可以避免早期失败,并且消除浴盆曲线 (BTC) 的婴儿死亡率部分 (IMP)(图 1),但代价由于比特过程。此外,高 BIT 压力不仅可能消除“怪胎”,还可能对“健康”产品的主要群体造成永久性损害,从而缩短其使用寿命。然而,目前还不清楚它确实发生到什么程度:高度加速寿命测试(HALT)一个试图“一石多鸟”的“黑匣子”,是目前选择的测试程序被用作合适的 BIT 工具,无法提供任何相关信息。
图 1. 浴盆曲线——电子产品的“可靠性护照”。
目前尚不清楚如何才能深入了解 BIT 期间实际发生的情况以及 BIT 的结果,以及如何有效消除“怪胎”,同时缩短测试时间且不损坏声音设备。在成熟的生产中,当依靠HALT来完成BIT工作时,甚至很难确定故障率是否存在下降。为了确定极低比例的生产的故障时间,必须销毁大量设备,除非额外考虑可以采取哪些措施来增强 BIT 流程的优点并最大程度地减少其缺点。因此,显然有动力开发可以量化、监控并可能优化双边投资协定流程的方法。因此,在此分析中,针对由大量批量生产的组件组成的电子产品,解决了 BIT 的一些重要方面。我们的目的是对双边投资协定进程提供一些定量分析。特别是,我们试图制定一个合适且可预测的标准,能够回答“老化或不老化”的基本问题。
这里进行了两项相互补充的建模研究:(1)对或多或少成熟的制造技术的 BTC 的 IMP 配置进行分析;(2) 分析感兴趣产品所包含的批量生产组件的随机统计故障率 (SFR) 的作用。特别是,就第二项研究而言,我们考虑了批量生产组件的随机 SFR 可能对产品的非随机初始 SFR 的影响。尽管本文没有对“老化还是不老化”问题提供直接且最终的答案,也没有提供如何优化 BIT 流程的问题,但就其成本和持续时间而言,建议的物理原理-基于故障和故障统计的标准,
BIT 作为一项 HALT 工作,实际上是一种面向故障的加速测试 (FOAT) ,因此,应该进行调整,以确认预期的故障物理现象和预期的故障模式,到具有物理意义的加速测试模型。可靠性概率设计 (PDfR) 方法及其组成部分 FOAT 和多参数玻尔兹曼-阿伦尼乌斯-朱尔科夫方程 (BAZ) 的应用超出了本文的范围。然而,PDfR/FOAT/BAZ 概念被认为是未来的重要工作。让我们简单地阐述一下其实质内容。
众所周知,BTC 的理想稳态部分发生在 BIT 过程结束时,是两个主要不可逆过程相互作用的结果:“有利的”SFR 过程,导致故障率随着时间的推移而降低,以及“不利的”物理故障相关过程(PFR),导致故障率增加。第一个过程在 BTC 的 IMP 中占主导地位,本文对此进行了考虑,第二个过程在其磨损部分中占主导地位。这两个过程在足够低且可接受的水平开始时开始相互补偿𝜆0稳态 BTC 故障率过程。纯粹从理论上考虑,可以预测由批量生产的组件组成的产品的SFR 过程 , 假设故障物理过程和故障统计过程在统计上是独立的,则只需从实验获得的 BTC 坐标中减去预测的 SFR 值即可获得给定时刻第一个过程的故障率。在我们的 BIT 分析中,参考文献的不同应用。发现被采用,即在概率的基础上量化现有 BIT 实践中一些或多或少众所周知的考虑因素,包括“老化还是不老化”问题。PDfR/FOAT/BAZ 概念的应用不仅有望回答给定制造技术的这个问题,而且最重要的是,能够建立适当的升高应力及其水平,并决定有效的 BIT持续时间,以尽量减少将被破坏的设备数量和测试时间。中的数值示例表明了 PDfR/FOAT/BAZ 概念的应用所带来的预期结果。
2. 分析
2.1. 基于浴盆曲线 (BTC) 解析近似的预测
典型的BTC,即批量生产的电子产品的“可靠性护照”
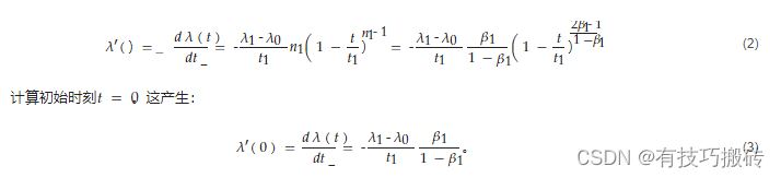
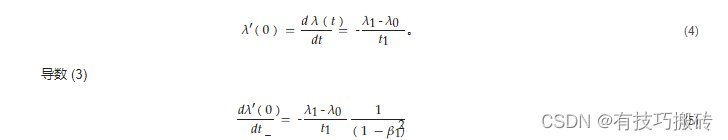
这里𝜆 ( 𝑡 )是与时间相关的故障率,𝜆0是其稳态最小值,𝜆1是 IMP 开始时的初始(高)值,𝑡1是这部分的持续时间,𝜆2是磨损部分结束时故障率的最终(实际或可接受的)值,𝑡2是这部分的持续时间,指数𝑛1和𝑛2通过丰满来表达𝛽1和𝛽2BTC 婴儿死亡率和磨损部分为𝑛1 , 2=𝛽1 , 21 −𝛽1 , 2。这些丰满度定义为 BTC 下面的面积(即 BTC 和时间轴之间的面积)与(𝜆1-𝜆0)𝑡1和(𝜆2-𝜆0)𝑡2对应的矩形。指数𝑛1和𝑛2当饱满度从零变为一𝛽1和𝛽2从零变为0.5。“烧还是不烧”的问题可以根据导数来初步回答:

如果该导数为零或接近于零,则意味着根本不存在 IMP,因此不需要 BIT 来消除这部分,“不老化”就是我们基本问题的答案。当初始值𝜆1BTC 的状态与其稳态没有什么不同𝜆0价值。不太明显的是,同样的结果发生在𝛽1𝑡1= 0。这意味着在这种情况下,不需要或多或少持久的 BIT,因为人口中没有太多“怪胎”,而且这些“怪胎”的特点是不失败的概率非常低,因此计划的BIT 过程是近乎瞬时的过程。饱满度最大值𝛽1是𝛽1= 0.5。这对应于 BTC 的 IMP 是连接初始值的直线的情况,𝜆1,和稳态,𝜆0,比特币的价值。在这种情况下

3. 结论
从所进行的分析中可以得出以下结论:
-
已经开展了两项相互补充的建模研究:(1)分析 BTC 的 IMP 的配置,这是现有半导体技术的可靠性“护照”;(2) 分析感兴趣产品所包含的批量生产组件的随机 SFR 的作用。
-
第一个分析表明,初始时刻故障率的基于 BTC 的时间导数可以被视为是否应该进行 BIT 的合适标准。如果该导数很小,则可能不需要 BIT,因为 IMP 的初始部分或多或少与时间轴平行,这表明 IMP 中不存在高度不可靠的项目(“怪胎”)。事实上,初始时刻是 BTC 稳态条件的开始。在相反的极端情况下,当这种衍生品很重要时,需要 BIT,但可以做得非常短,因为“怪胎”非常不可靠,即使非常短且弱的 BIT 也可以成功消除它们。
-
第二个分析表明,上述标准实际上是产品制造商从众多供应商处收到的批量生产组件的随机 SFR 的方差,这些供应商对可靠性的承诺未知,因此它们的随机 SFR 可能会有所不同范围很广,从零到无穷大。
-
获得了正态分布随机 SFR 情况的解。使用该解决方案,可以计算作为时间函数的无故障概率以及批量生产组件的随机 SFR 平均值与其标准偏差的比率(在结构分析中,该比率称为安全系数)。这为下一步调查增加了有用的信息,并为我们的基本“问题”提供了更有效的答案。
-
尽管本文没有对这个问题提供直接和最终的答案,但建议的基于失效物理和失效统计的标准,以及给定负载条件和测试时间的无失效概率的计算,为推进当今的 BIT 实践提供了有用的一步,该实践基于 HALT,这是一个具有许多优点的“黑匣子”,但即使在确定性的基础上也无法量化可靠性。
-
未来的工作应包括对建议的“老化或不老化”标准及其可接受的值进行实验验证,这将能够回答“老化或不老化”的问题。它还应包括对随机 SFR 的其他可能分布(例如瑞利分布)的影响的调查。